최단경로를 탐색하는 플로이드-와샬(Floyd-Warshall) 알고리즘에 대해 알아보자.
플로이드-와샬 알고리즘은 그래프에서 모든 정점 쌍 간의 최단 거리를 찾는 동적 프로그래밍(Dynamic Programming) 알고리즘이다.
(만약 최단거리의 경로를 구하고 싶다면 복원 로직의 추가가 필요하다.)
1. 동작방식의 이해
플로이드-와샬 알고리즘의 동작 방식은 아주 간단하다.
- 모든 정점 쌍(i,j)에 대해, 중간 정점 k를 경유하는 경로가 기존 경로보다 짧은지 검사
- 각 단계에서 k번째 정점을 거쳐가는 모든 경우를 고려
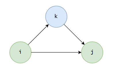
즉 아래와 같은 세 노드가 있을 때, 기존에 주어진 i → j 의 길이와 노드 k가 중간에 추가된 i → k → j 를 비교하여 i → j 의 길이를 더 작은 값으로 갱신하는 것이다.

점화식은 아래와 같다.
$DP[i][j] = min(DP[i][j], DP[i][k] + DP[k][j])$
이를 이용한 의사코드(Pseudo code)는 다음과 같다.
// 모든 정점 쌍 사이의 최단 거리를 저장할 2차원 배열 dist[][]
// 인접 행렬로 초기화된 상태에서 시작
// V는 정점의 개수
FloydWarshall(dist[1..V][1..V]):
// k는 거쳐가는 정점
for k from 1 to V:
// i는 출발 정점
for i from 1 to V:
// j는 도착 정점
for j from 1 to V:
if dist[i][k] + dist[k][j] < dist[i][j]:
dist[i][j] = dist[i][k] + dist[k][j]
2. 누락되는 부분은 없을까?
플로이드 와샬 알고리즘에서 누락되는 경우의 수가 발생할 여지는 없을까?
즉, 이후 단계의 결과가 이전 단계의 결과를 번복시키는 경우는 없을까?
플로이드 와샬 알고리즘의 핵심 원리는 다음과 같다.
- 단계적 처리: 알고리즘은 k=0부터 k=n-1까지 순차적으로 처리한다.
- 최적화 조건: k번째 단계에서는 "i에서 j로 가는 경로"와 "i에서 k를 거쳐 j로 가는 경로" 중 더 짧은 것을 선택한다.
- 누적 최적화: 각 k 단계마다 모든 정점 쌍(i, j)에 대해 이 최적화를 적용한다.
예를들어, k=n일 때, 이미 k=0 ~ n-1을 경유점으로 고려한 최단 경로이다.(k가 0부터 순차적으로 증가하도록 설계하였을 경우를 가정함)
점화식을 통해 이해하자면,
dp[k][i][j] = k번째 단계에서 i에서 j까지의 최단 거리 (여기서 dp[k]는 0부터 k까지의 정점만을 중간 정점으로 사용할 수 있을 때의 최단 거리) 라고 할 때, 알고리즘은 다음과 같은 관계를 만족한다.
$dp[k][i][j] = min(dp[k-1][i][j], dp[k-1][i][k] + dp[k-1][k][j])$
이 식에서 k=10일 경우, k=9의 결과에만 의존하며 k=7일 때의 결과에 영향을 미칠 수 없다.
결론적으로, 이후 단계의 결과가 이전 단계의 결과에 영향을 미치는 경우의 수는 없다.
3. 예제
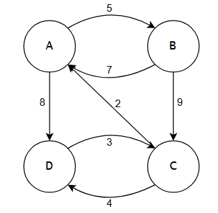
아래와 같이 4개의 정점에서 다른 곳을 이동하는 거리가 표현된 그래프가 존재한다.

최초 데이터를 정리하면 다음과 같다.
- A에서 B로 이동하는 거리 5
- A에서 C로 이동하는 거리 무한대(알 수 없음)
- ...

k를 A부터 D까지 순회하며 최단경로를 찾아보자.(변동사항이 발생하는 경로만 별도 수식 표기)
1단계: k=A
- $DP[B][D] = min(DP[B][D], DP[B][A] + DP[A][D]) → DP[B][D] = min(INF, 15)$
- $DP[C][B] = min(DP[C][B], DP[C][A] + DP[A][B]) → DP[B][D] = min(INF, 7)$

2단계: k=B
- $DP[A][C] = min(DP[A][C], DP[A][B] + DP[B][C]) → DP[A][C] = min(INF, 14)$

3단계: k=C
- $DP[B][D] = min(DP[B][D], DP[B][C] + DP[C][D]) → DP[B][D] = min(15, 13)$
- $DP[D][A] = min(DP[D][A], DP[D][C] + DP[C][A]) → DP[D][A] = min(INF, 5)$
- $DP[D][B] = min(DP[D][B], DP[D][C] + DP[C][B]) → DP[D][B] = min(INF, 10)$

4단계(마지막): k=D
- $DP[A][C] = min(DP[A][C], DP[A][D] + DP[D][C]) → DP[A][C] = min(14, 11)$

최종적으로 아래와 같은 최단거리 데이터를 구할 수 있다.

이를 Python 코드로 구현하면 아래와 같다.
INF = float('inf') # 무한대 값 설정
# 그래프를 인접 행렬로 표현
graph = [
[0, 5, INF, 8],
[7, 0, 9, INF],
[2, INF, 0, 4],
[INF, INF, 3, 0]
]
def floyd_warshall(graph):
V = len(graph) # 정점의 개수
dist = [row[:] for row in graph] # 그래프 복사
# k = 거쳐가는 노드
for k in range(V):
# i = 출발 노드
for i in range(V):
# j = 도착 노드
for j in range(V):
# i에서 j로 가는 현재 거리와 k를 거쳐가는 거리를 비교
dist[i][j] = min(dist[i][j], dist[i][k] + dist[k][j])
return dist
# 결과 출력을 위한 함수
def print_solution(dist):
V = len(dist)
print("최단 거리 행렬:")
for i in range(V):
for j in range(V):
if dist[i][j] == INF:
print("INF", end=" ")
else:
print(dist[i][j], end=" ")
print()
# 알고리즘 실행
result = floyd_warshall(graph)
print_solution(result)
4. 시간복잡도 및 공간복잡도
- 시간복잡도
- $O(V^3)$ - 세 개의 중첩된 반복문 사용
- V는 정점의 개
- 공간복잡도
- $O(V^2)$ - V*V 크기의 2차원 배열 필요
5. 특징
플로이드 와샬 알고리즘의 장점은 다음과 같다.
- 간단한 코드(3중 for문) 구현
- 음수 가중치 처리 가능
- 모든 경로의 계산
단점은 다음과 같다.
- 높은 시간 복잡도
- 큰 메모리 사용
- 동적 갱신의 비 효율성
결론적으로 아래와 같은 상황에서 사용되는 것이 효율적이라고 판단된다.
- 정점 수가 적은 경우
- 모든 쌍의 최단 경로가 필요한 경우
- 그래프 변경이 빈번하지 않은 경
'알고리즘 > 개념' 카테고리의 다른 글
| 펜윅 트리(1차원 펜윅 트리, Fenwick Tree, Binary Indexed Tree) (0) | 2020.03.16 |
|---|---|
| 2차원 펜윅트리 이해하기(2-dimentional Fenwick Tree) (0) | 2020.02.05 |